Основные показатели для учета бройлеров. Что говорят цифры.


Бройлеров выращивают группами, поэтому начинающиеся проблемы удается обнаружить слишком поздно.
Часто при изменениях в поведении птицы (отказ от корма и др.) не проводится достаточный анализ. Ведь даже самые минимальные отклонения могут вызвать огромные проблемы в дальнейшем выращивании. Ежедневная регистрация и анализ показателей стада – это возможность оперативно отреагировать на зарождающуюся проблему.
Сбор информации необходимо проводить в один и тот же период суток. Существенное изменение в потреблении корма или воды является первым сигналом о проблеме со здоровьем птицы, качеством корма, вентиляцией или температурой в птичнике. Нужно максимально комфортно оформить рабочее место для сбора данных, например прикрепите карточку с учетом информации на стену, сводку по расходу воды положите рядом с водяным счетчиком и т.п.
Все зафиксированные данные нужно сравнивать с рекомендациями кросса. Но не менее важно задать свои собственные нормативы, например для сравнения с результатами предыдущего тура. Если есть возможность сравнить свои данные с другими аналогичными фермами, то обязательно нужно это делать.
Сбор данных. Ежедневная регистрация данных дает больше информации, чем еженедельная. Главное помнить, что просто регистрация данных, без дальнейшего анализа, это пустая трата времени.
Цикл сбора, обработки данных и действий должен быть непрерывным процессом.
Сбор информации.
Сбор и расчет ключевых показателей на протяжении и в конце каждого цикла выращивания
Анализ.
Сравнение полученных результатов с:
– рекомендациями по кроссу
– предыдущим туром
– предыдущими неделями цикла
– другими фабриками
Улучшение производственных или финансовых показателей
– Составление плана
– Реализация планируемых действий
Основные показатели.
Вода / корм.
Повышенное потребление воды может наблюдаться в жаркую погоду, за счет высокого количества минералов в корме или течи в водопроводе. При снижении потребления воды необходим контроль чистоты/качества и вкуса воды, а также ее давления в системе. Когда снижается потребление корма, нужно проверить здоровье цыплят, качество и доступность корма.
Высокое потребление воды сопровождается часто низким потреблением корма. Такой перекос говорит, например, о проблеме с кишечником. Однако необходимо помнить и тот момент, что коэффициент вода/корм заметно повышается при высокой внешней температуре, и это не означает наличие проблемы. Поэтому и важен комплексный подход с более глубоким анализом.
Прирост.
Прибыльность производства зависит от того, насколько полученная тушка отвечает заданной спецификации. Для этого необходимо, чтобы рост птицы был предсказуемым и однородным.
Если бройлер здоров, то он прибавляет в весе ежедневно. Задержка роста происходит по нескольким причинам:
– недостаточное потребление корма
– низкая питательность корма
– тепловой или другой вид стресса
– повышение физической активности
Если говорить о ветеринарной составляющей, то затраты организма на сопротивление инфекции могут потребовать дополнительно до 25% энергии корма. Конечно, в таком случае, развитие цыпленка задержится. Взвешивание птицы и контроль прироста за определенный промежуток времени позволит объективно судить о возможных отклонениях.
Рекомендуется взвешивать птицу минимум раз в неделю. При этом более частое взвешивание предоставит еще более достоверную информацию и позволит точнее рассчитать окончательную живую массу и однородность. По мере ускорения роста птицы и уменьшения возраста окончания производства прогнозирование динамики развития живой массы зачастую требует взвешивания дважды в неделю.
Абсолютный прирост определяют по изменению живой массы птицы за известный промежуток времени по формуле:
V = V2 – V1
V – абсолютный прирост, г
V2 – живая масса на конец периода, г
V1 – живая масса на начало периода, г.
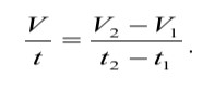
Среднесуточный абсолютный прирост определяют по формуле:


Расшифровка символов: V1 – живая масса в начале периода, г; V2 – живая масса в конце периода, г; t1 – возраст в начале периода, сутки; t2 – возраст на конец периода, сутки.
Точный расчет живой массы стада в конце производственного цикла требует взвешивания большого числа птицы (100 голов или более в зависимости от CV%) с регулярными интервалами ближе к окончанию производства (в последние 2-3 дня). Для понимания сколько голов цыплят необходимо взвесить в контрольном образце, чтобы получить более точные данные по расчету живой массы птицы, необходимо ориентироваться на данные таблицы.
Минимальное число голов птицы контрольного образца для получения точного расчета живой массы согласно однородности стада.
| Однородность стада | Число взвешенных голов |
| Высокая однородность (CV% = 8) | 61 |
| Средняя однородность (CV% = 10) | 96 |
| Низкая однородность (CV% = 12) | 138 |
Согласно показателю коэффициента однородности (CV%), чем выше значение, тем меньше однородность живой массы стада.
Взвешивание группы птицы. В возрасте 0-21 день птицу следует взвешивать в группах. Каждый раз взвешивайте 100 голов (или 1% стада, в зависимости от большего значения). Если птица выращивается раздельно по полу, следует взвешивать 100 голов (или 1%) каждого пола. Точки отлова должны находиться вдали от дверей и стен. Таким образом взятые измерения живой массы будут наиболее точными.
Индивидуальное взвешивание птицы. Для еженедельного определения однородности поголовья следует проводить индивидуальное взвешивание птицы, начиная с возраста 21-28 дней, в зависимости от возраста забоя.
Однородность поголовья (CV%).
Изменение живой массы птицы в стаде (поголовье) определяется коэффициентом однородности (CV%), который представляет собой стандартное отклонение размера птицы в стаде в виде процента от среднего показателя. Неоднородное стадо будет иметь высокий CV%, а однородное стадо – низкий CV%.
Однородность поголовья можно рассчитать по следующей формуле:


CV% = Стандартное отклонение
Следующий показатель – кормоконверсия (FCR). Т.е. на сколько оправданы затраты кормов в продукцию. Определяется по формуле:


Чем ниже FCR, тем выше эффективность птицы (или группы птицы) в преобразовании потребленного корма в живую массу.
Основной показатель, на который ориентируются многие производители мяса цыплят-бройлеров, это индекс эффективности производства (PEF)+:


Таким образом, научно обоснованный подход к кормлению позволяет максимально реализовать генетический потенциал птицы, обеспечить высокие показатели продуктивности и снизить себестоимость продукции. Сбалансированный рацион, учитывающий возрастные особенности, физиологическое состояние и целевое направление продуктивности, способствует укреплению иммунитета птицы, снижению заболеваемости и минимизации падежа, что в совокупности повышает рентабельность производства.
Выбор качественного комбикорма гарантирует безопасность продукции и стабильность производственных показателей. Более 55 лет Раменский комбинат хлебопродуктов производит комбикорма с подтверждённым качеством. Рецептуры разработаны с учётом потребностей того или иного вида и возраста птицы в питательных веществах, витаминах, минералах. Благодаря чему они растут здоровыми, активными и продуктивными.